区域性农业产量关乎当地乃至全球数亿人口的粮食安全与生计保障。提前一个月对作物生长情况进行预测,能够优化田间管理、农事安排、调节定价农产品并科学分配生产资料,助力可持续发展。然而,因观测数据有限和系统内部非线性关系复杂,传统作物生长预测方法往往难以满足高精度和实时化运作的服务需求。
为应对这一挑战,中国科学院大气物理研究所联合北京师范大学、香港科技大学和英国气象局开展研究,创新性地构建了机器学习-气候动力混合次季节预测模型,实现了对作物健康关键指标NDVI(归一化植被指数)的提前1个月的精准预测。2025年5月,研究成果在农林气象领域顶刊《Agricultural and Forest Meteorology》上在线正式发表。
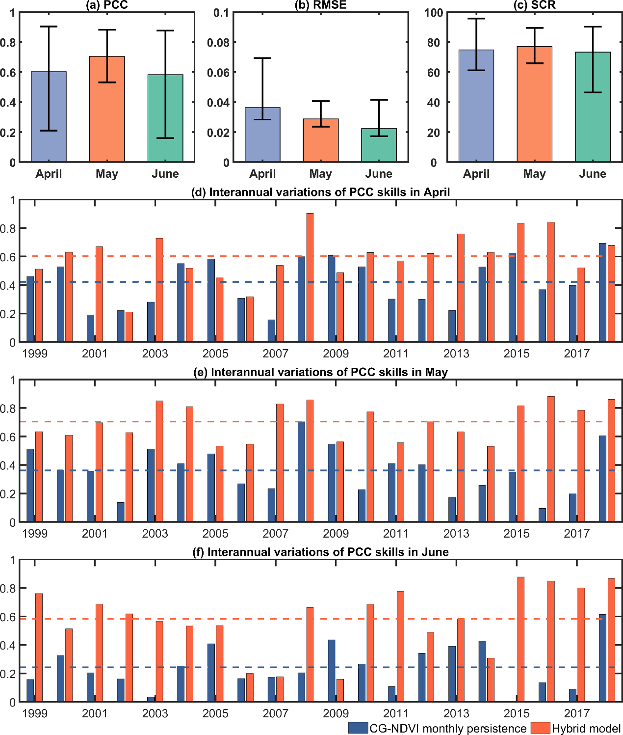
研究基于业务化运行的全球多圈层耦合气候动力模式FGOALS-f2,并结合ResNet和U-Net卷积神经网络算法,构建了针对中西南亚地区NDVI的机器学习-气候动力混合次季节预测模型(图1)。该模型利用数据增强、物理因子优选、时空降维、预测目标可解释性增强等策略,有效克服了传统上在次季节预测中使用机器学习方法时,因样本量不足而导致的过拟合问题;同时克服预测目标空间分辨率多样化的障碍。该模型在独立预测集中展示出显著的次季节预测技巧,其多年平均空间相关系数达0.58–0.70,均方根误差低于0.036,符号一致率超73.3%,较传统恒值延续法提升40%以上(图2)。此外,该混合模型仅需小量计算资源(单GPU)和数据输入(1.2 MB)即可快速生成预测结果(0.063秒)。其轻量化设计便于无缝嵌入现有业务次季节预测系统,为农业和环境管理提供了高效、低成本的实时决策支持,并不久上线实时运行。
该工作受到国家自然科学基金委国际合作和交流项目“基于统计(机器学习)-动力气候预测的农业旱灾风险季节预测研究”资助,同时成为首篇在线发表的支持联合国“科学十年”之“无缝预测与服务”SEPRESS科学计划的科研应用工作。

图 1 机器学习–气候动力混合次季节预测模型框架示意图。详见 Zhu et al. (2025)的图2。

图 2 不同预测方法在中西南亚地区 NDVI 次季节预测中的对比结果。详见Zhu et al. (2025)的图4。
【相关论文信息】
Zhu, T., M. Lu, J. Yang*, Q. Bao, S. New, Y. Pan, A. Qu, X. Feng, J. Jian, S. Hu, and B. Pan, 2025: Enhancing Ready-to-Implementation subseasonal crop growth predictions in central Southwestern Asia: A machine learning-climate dynamical hybrid strategy. Agricultural and Forest Meteorology, 370. https://doi.org/10.1016/j.agrformet.2025.110582
Qu, A., Q. Bao, T. Zhu*, and Z. Luo, 2025: Deep learning-based bias correction method for seasonal prediction of summer rainfall in China. Journal of Tropical Meteorology, https://doi.org/10.3724/j.1006-8775.2024.040






