今年入夏以来,华南多地的强降雨、长江一带的特大暴雨以及最近洞庭湖的决堤时刻牵动着全国人民的心。历史上,东亚地区频繁遭受洪水威胁,严重影响经济社会发展和人民生命财产安全。夏季东亚地区的许多洪水事件与中尺度对流系统(MCS)有关,MCS带来的降水通常强度大、范围集中且持续时间长,具有引发洪水的潜力。然而,由于MCS和洪水研究分属气象和水文两个领域,此前少有研究工作关注东亚地区MCS对大型洪水事件的影响,在气候尺度上MCS如何影响大型洪水事件尚不清楚。
最近,中国科学院大气物理研究所LASG国家重点实验室博士生丁天和所在团队师生与美国加利福尼亚大学研究人员合作,基于过去22年的MCS数据和洪水数据,通过建立“MCS-flood”关联算法对每个洪水事件进行归因,利用Self-Organizing Map方法将MCS分成四类,计算了每类MCS的致洪效率,揭示不同MCS影响致洪效率的机制。研究工作日前在期刊Geophysical Research Letters发表。
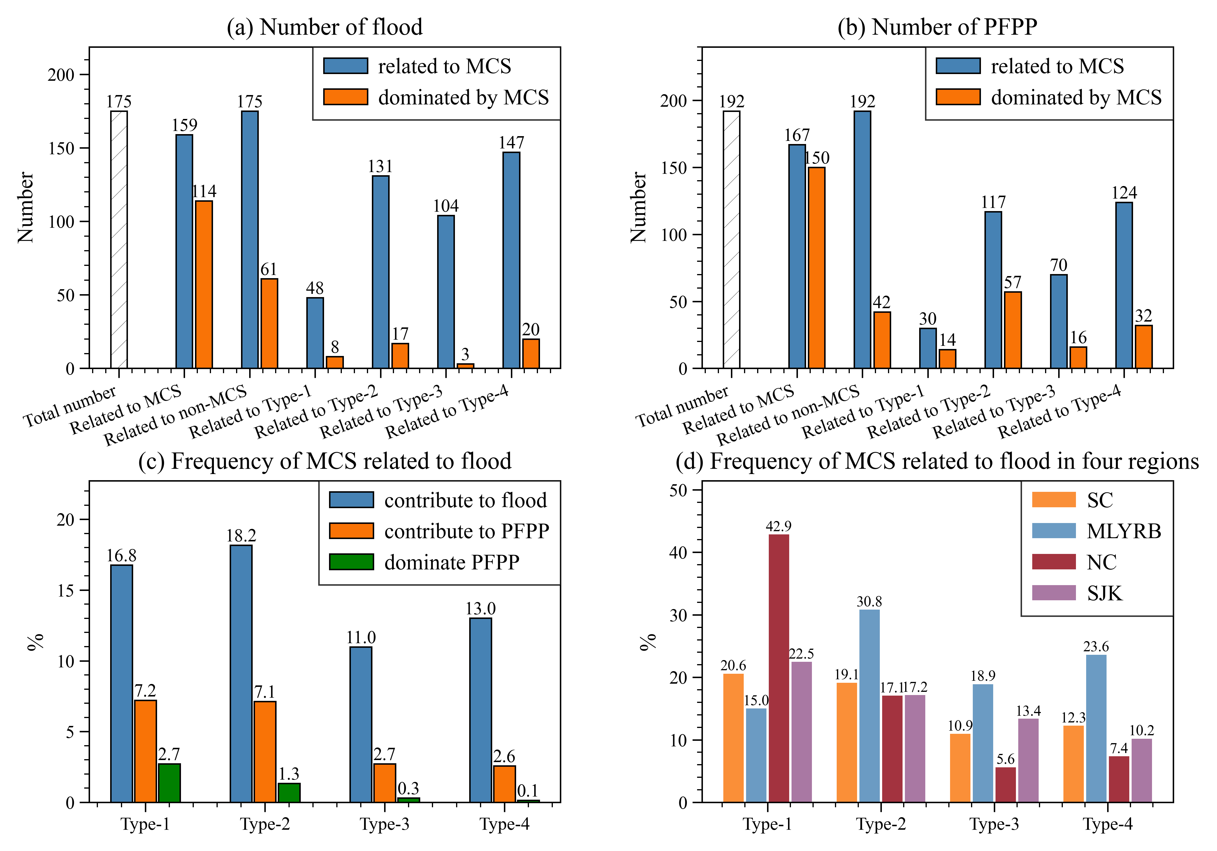
该研究发现,过去22年夏季在东亚地区发生的所有大型洪水事件中,91%与MCS有关,65%由MCS主导。其中第1类MCS的陆地降水面积较大、降水率最强、生命周期最长、移动速度最慢,故致洪效率最高。研究发现,MCS的长生命周期不仅有利于增加总降水量,还能够增加MCS移动区域的重叠面积,从而有利于单位面积降水量的累积。较慢的移动速度也能增加重叠面积,使得降水转化为土壤含水的比例降低。第2类MCS的降水量居第二位,比第1类更为常见,特别是在陆地上,不仅具有较高的致洪效率,且引发洪水的频率比第1类更高。第3类MCS的降水量相对较小,但对流降水率较高。第4类MCS的降水量最小,但数量最多,并且主导了最多的洪水事件。
丁天博士为论文第一作者。该研究受国家自然科学基金“青藏高原地球系统基础科学中心项目”(41988101)、王宽诚教育基金会(GJTD-2019-05)、国家自然科学基金(42175164)和国家重大科技基础设施项目“地球系统数值模拟装置”的共同资助。
参考文献:Ding,T.,Zhou,T.,Guo,Z.,Yang,Y.,Zou,L.,& Chen,X. (2024). Contribution of mesoscale convective systems to floods in the East Asian summer monsoon region. Geophysical Research Letters,51,e2023GL108125. https://doi.org/10.1029/2023GL108125

图1(a)与MCS相关、由MCS主导的洪水数量。(b)与MCS相关、由MCS主导的潜在洪峰(PFPP)数量。(c)每类MCS中对洪水有贡献的比例、对PFPP有贡献的比例以及主导PFPP的比例。(d)在华南地区、长江中下游、华北地区和日本南部−朝鲜半岛MCS对洪水有贡献的比例。华南地区(16°N~25.5°N,102°E~127°E),长江中下游(27°N~33°N,105°E~125°E),华北地区(34°N~48°N,107°E~123°E)和日本南部−朝鲜半岛(31°N~41°N,125°E~140°E)。






