气象卫星红外波段的全天空同化仍然存在重大挑战,主要因为数值天气预报对云模拟的不确定性大,且快速辐射传输模式模拟云结构和物理性质的能力有限,特别是具有复杂垂直结构的云。可否只针对某种类型的云实现红外的云区同化呢?已有研究指出,卷云是高云中的一种,由冰晶组成的松散冰云,红外辐射能够部分穿透卷云,且卷云数量多。
考虑上述优点,近期中国科学院大气物理研究所LASG国家重点实验室王斌研究员课题组在《地球物理研究通讯》发表题为“同化FY‐4A多通道扫描成像辐射计(AGRI)受卷云影响的红外辐射对水汽分析和暴雨预报的影响”,指出当同化受卷云影响的辐射时,FY‐4A AGRI数据的使用量大幅增加,且对水汽分析和降水预报产生中性偏正的影响。
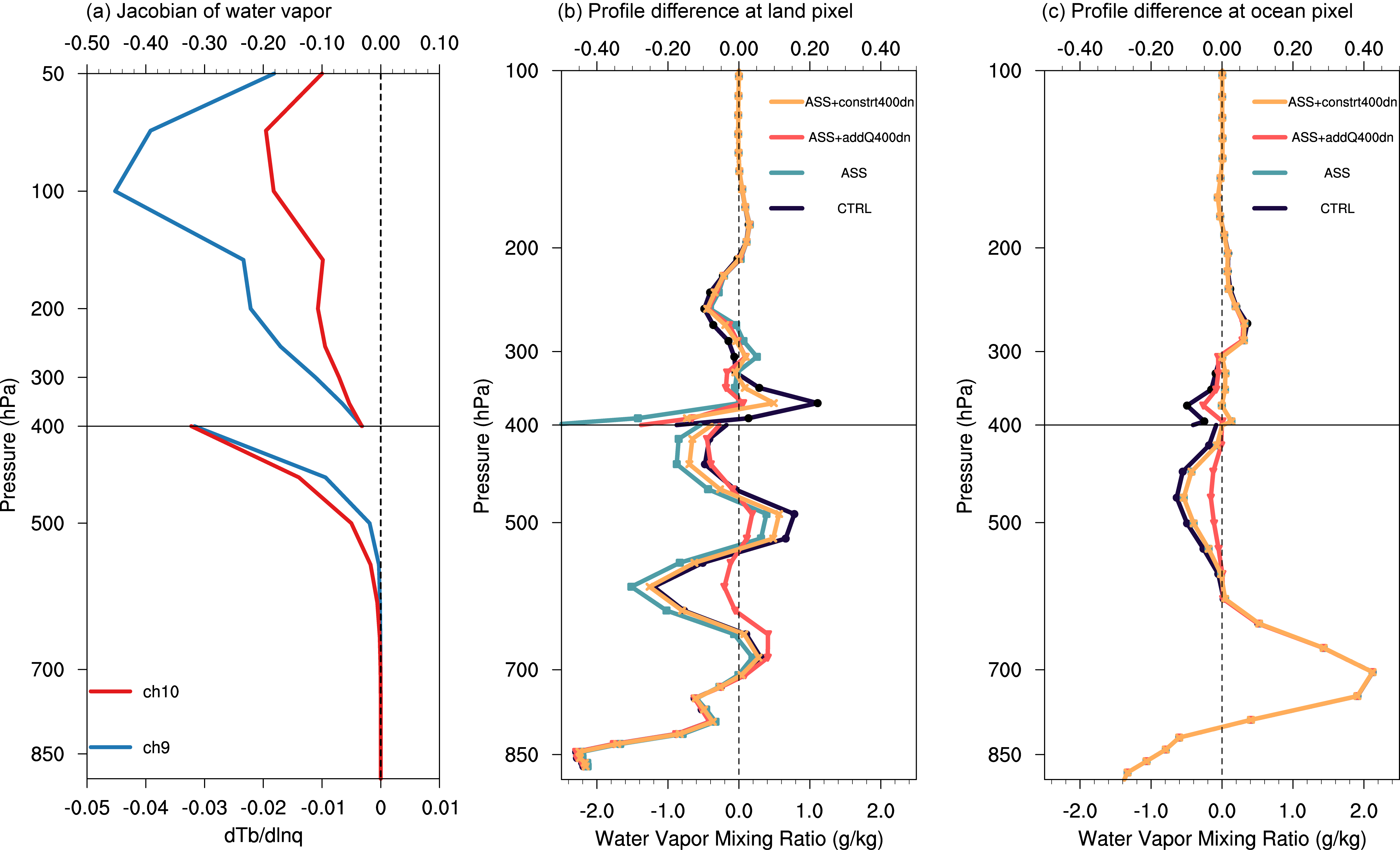
作者发现在受卷云影响的视场中,对流层中下层出现较厚逆湿层的廓线占比较高,FY‐4A AGRI在该层次具有一定水汽敏感性,但很难正确反映这种大气逆湿特征,从而导致对流层低层水汽增量的不确定性。为了解决这一问题,作者在同化中对存在较厚逆湿层的卷云视场增加弱约束,使得对流层中低层的分析误差减小(图1)。
作者通过批量OSSE试验分析同化效果,统计结果表明,同化FY‐4A AGRI卷云辐射后,在200、300和400 hPa,同化结果与真实大气的水汽分布空间相关系数明显高于仅同化晴空辐射的结果,即同化FY‐4A AGRI卷云辐射提高了分析场中水汽变量模拟效果。此外,在实际个例中,同化FY‐4A AGRI卷云辐射提高了数据的利用率(图2),并对降水预报产生中性偏正的影响。
该研究还表明,将敏感高度较高的FY‐4A AGRI水汽通道与敏感高度较低的微波仪器协同同化,可能减小FY‐4A AGRI卷云同化在对流层低层的不确定性,产生较好的多源卫星协同同化效果,值得进一步研究。
中国科学院大气物理研究所博士生徐兰为论文第一作者,导师刘娟娟研究员为论文通讯作者。
该研究受国家重点研发计划项目(2021YFC3101505)和国家自然科学基金(42375156)资助。
论文引用:
Xu, L., Liu, J., Cheng, W., Wang, S., Zhu,S., He, Y., et al. (2024). The impact of assimilating cirrus‐effected infrared satellite radiance from the FY‐4A AGRI on water vapor analysis and rainstorm forecasting. Geophysical Research Letters, 51, e2023GL107351. https://doi.org/10.1029/2023GL107351
链接:https://agupubs.onlinelibrary.wiley.com/doi/full/10.1029/2023GL107351

图1. NR试验与CTRL试验和ASS试验的水汽雅可比和水汽廓线的差值。(a)为AGRI通道9和10的水汽雅可比函数的垂直分布。(b)为NR试验的水汽廓线-CTRL试验的水汽廓线(单位:g kg-1;黑线)、NR试验的水汽廓线-卷云同化试验的水汽廓线(单位:g kg-1;蓝线)、NR试验的水汽廓线-卷云ASS+addQ400dn同化试验的水汽廓线(单位:g kg-1;红线)和NR试验的水汽廓线-卷云ASS+constrt400dn同化试验的水汽廓线(单位:g kg-1;橙线)在陆地视场上的垂直分布。(c)与(b)相同,但为海洋视场的单点结果。由于垂直方向水汽量级差异较大,本图以400hPa高度为分界线,上下采用不同的x坐标轴。

图2.实际个例中进入同化的AGRI通道9的晴空视场(红色点)和受卷云影响(灰色点)的视场分布。






