二氟一氯甲烷,HCFC-22(R-22)是一种常见制冷剂,具有温室效应并且会造成平流层臭氧消耗。自 20 世纪 50 年代以来,由于人类活动,大气中 HCFC-22 的浓度一直在增加。HCFC-22 浓度可以从全球大气成分监测网(NDACC-IRWG)地基傅里叶红外光谱仪(FTIR) 测量的太阳吸收高分辨率光谱中反演获得。然而,目前只有少数站点提供了 HCFC-22 观测数据,并且数据不连续、反演算法不同等,导致NDACC-IRWG的资料无法用于全球HCFC-22监测与核算。
为了解决现存问题,中国科学院大气物理研究所联合比利时皇家物理研究所(BIRA-IASB)、德国不莱梅大学(UBremen)、美国大气研究中心(NCAR)、美国宇航局(NASA)、日本环境研究所(NIES)、加拿大多伦多大学(UoT)等十多家科研单位,自主研发了均一地基 FTIR的HCFC-22 遥感反演算法,基于 16 个NDACC-IRWG FTIR 站点构建了一套新的全球HCFC-22 数据集,覆盖1990年至今30多年的时间尺度。基于该套新观测数据集,研究分析了上世纪90年代至今的HCFC-22 浓度变化趋势,发现 HCFC-22 年增长率在2009年达到顶点,为 7.65±1.39 ppt/年,随后HCFC-22 年增长率开始下降,在2016至2020年平均年增长率为 3.57±1.39 ppt/年,在2021至2023年平均年增长率为2.15±2.09 ppt /年。
上述研究近期发表在《Geophysical Research Letters》期刊上,中科院大气所周敏强副研究员为论文的第一作者兼通讯作者。该项研究工作表明《蒙特利尔协议书》的相关减排措施正在逐步有效推进,全球HCFC-22浓度增长率开始放缓,如果保持当前趋势,HCFC-22浓度很快会出现下降。该项研究工作构建的NDACC-IRWG地基FTIR数据集为全球HCFC-22的源汇计算提供了新的观测资料,为全球气候变化与平流层臭氧研究提供重要科技支撑。

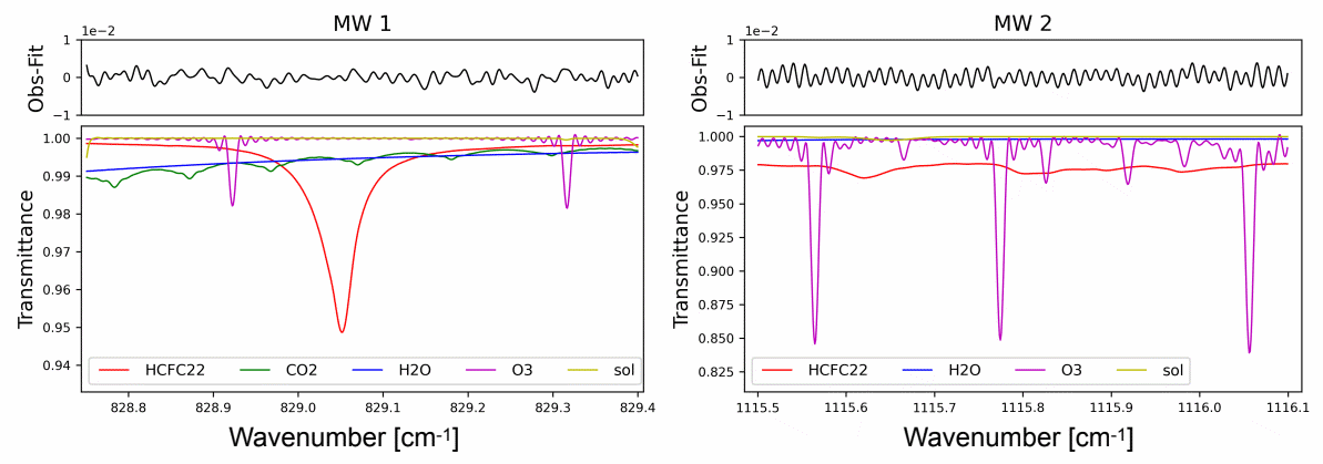
图1.地基NDACC-IRWG FTIR用于HCFC-22反演的2个红外通道。

图2. 基于本研究构建的NDACC-IRWG地基FTIR观测数据集和NOAA地面采样瓶以及ACE-FTS卫星得到的全球HCFC-22 年增长率。
GRL论文:
Zhou, M., Langerock, B., Vigouroux, C., Smale, D., Toon, G., Polyakov, A., et al. (2024). Recent decreases in the growth rate of atmospheric HCFC-22 column derived from the ground-based FTIR harmonized retrievals at 16 NDACC sites. Geophysical Research Letters, 51, e2024GL112470. https://doi.org/10.1029/2024GL112470






