热带气旋是生成在热带洋面的强烈的致灾性涡旋系统,常引发极端气象灾害。我国是遭受热带气旋相关气象灾害最严重的国家之一,每年影响人口上亿人次,造成直接经济损失几千亿人民币。在气候变化的背景下,热带气旋的发生频率升高,强度增大,经快速增强阶段发展成为有巨大破坏力的超强台风或飓风的比例显著增加。加强对热带气旋强度的监测和预警是热点和难点课题,也是减少生命财产损失的迫切需求。

图1: 热带气旋主要结构及其激发的平流层重力波(图片来自https://www.internetgeography.net/,吴雪再编辑)。
热带气旋作为有组织的深对流系统,也是平流层重力波的重要激发源之一。深对流系统气流的震荡(“机械振荡效应”)和潜热加热的热力强迫(“热力效应”)是激发重力波的两个重要机制,而这两者又与热带气旋的强度变化有密切联系。考虑到热带气旋强度与其激发的平流层重力波之间的相关性,中科院大气物理研究所与德国于利希研究中心、美国西北研究联合会、英国巴斯大学、韩国延世大学的科学家合作,研究热带气旋激发的平流层重力波特征与热带气旋强度演变的关系,探索热带气旋强度监测和预警的新方案。
首先,利用2002-2016年间的AIRS探测数据,统计了热带气旋激发的平流层重力波活动规律,发现:热带气旋增强阶段激发平流层重力波的概率是减弱阶段的两倍,并且强平流层重力波活动通常只在热带气旋增强阶段出现;在增强阶段出现过强重力波活动的热带气旋更倾向于发展为超强台风或飓风。该研究为通过遥感监测平流层重力波的变化来推测热带气旋强度演变,尤其是热带气旋的增强提供了依据。
随后,为了验证卫星观测统计规律以及深入探索背后机理,使用WRF模式对热带气旋案例进行了高分辨率数值模拟,发现热带气旋增强阶段平流层重力波活动更旺盛,并且平流层重力波活动与热带气旋强度演变之间存在着显著的超前相关性,验证了以上通过卫星数据统计分析得到的结论。同时该研究还发现,热带气旋中强对流激发的具有较快垂直波速的高频重力波可以在几十分钟内从上对流层激发源上传至平流层上层,考虑到重力波上传至平流层与热带气旋增强之间的时间差,这一类“先兆性”的平流层重力波可以在热带气旋增强时或增强前被卫星探测器捕捉到,可用于监测、甚至预测热带气旋的增强。

图2: 卫星遥感飓风JOAQUIN中的深对流系统及其激发的平流层重力波。(a) 2015年10月1日AIRS 8.1μm通道亮温,指示飓风中的对流系统;(b) AIRS 4.3μm通道的亮温扰动,指示平流层重力波信号。(Hoffmann et al., 2018)

图3: WRF模拟飓风JOAQUIN激发的平流层重力波。(a)垂直风速三维结构;(b)40 km高度的垂直风速分布。(Wu et al., 2022)

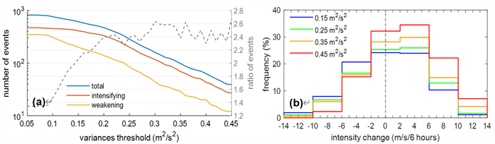
图4: (a)热带气旋增强和减弱时重力波的出现频次;(b)不同强度的重力波的出现频率随热带气旋强度演变的分布。(Wu et al., 2022)
在这些研究的基础上,如何使用平流层重力波的微波、红外卫星遥感数据来改进热带气旋快速增强的监测和预警成为研究的热点。使用微波、红外波段的卫星探测器开展平流层重力波探测,不受对流层云、雨的阻碍或衰减,将为热带气旋增强的监测补充宝贵的数据,提供全新的思路。
研究受中科院空间科学先导专项(XDA15072120)和国家自然科学基金(41975049)支持。上述研究成果发表于Geophysical Research Letters杂志,论文第一作者或通信作者为大气物理研究所吴雪副研究员,文章链接:
Wu, X.*, Hoffmann, L., Wright, C. J., Hindley N. P., Kalisch S., Alexander M. J., Wang Y. N.: Stratospheric gravity waves as a proxy for hurricane intensification: a case study of weather research and forecast simulation for Hurricane Joaquin, Geophys. Res. Lett., https://doi.org/10.1029/2021GL097010
Hoffmann, L., Wu, X.*, and Alexander, M. J.: Satellite observations of stratospheric gravity waves associated with the intensification of tropical cyclones, Geophys. Res. Lett., https://doi.org/10.1002/2017GL076123






