黑碳作为主要的吸收气溶胶,会对大气产生正的辐射强迫,显著影响地-气系统的辐射平衡。过去十年,北京通过实施清洁空气行动计划显著降低了PM2.5浓度,在此背景下探究黑碳及气溶胶光学特性的响应对进一步改善空气质量提高大气能见度具有积极意义。由此,LAPC国家重点实验室孙佳星博士和孙业乐研究员等从2012年到2020年在大气所铁塔分部对当量黑碳质量浓度(eBC)和大气消光系数进行了长期观测,分析了黑碳、气溶胶光学特性、棕碳(BrC)吸收系数及波长吸收指数(AAE)等变化,量化了一次排放和二次形成对BrC吸收的贡献,评估了BC和BrC的变化对大气直接辐射效应的影响。
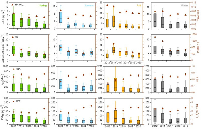
结果显示,eBC从2012年的6.25±5.73μgm-3大幅下降到2020年的1.80±1.54μgm-3,细颗粒物的消光系数也下降了47%。eBC的季节变化及日变化分别说明了秋季和夜间的减少最为明显。ΔeBC/ΔCO的年平均值也从7ngm-3 ppbv-1下降至4ngm-3 ppbv-1,表明北京的一次排放源已经发生了很大变化。随着PM2.5浓度的显著降低,单次散射反照率(SSA)从0.79±0.11显著升高到0.88±0.06,质量消光效率(MEE)从3.2上升到3.8m2g-1,这些结果说明散射气溶胶在辐射强迫中日益重要,也解释了一些地区大气能见度并没有与PM2.5出现同步改善的原因,因此MEE的增强可能会给未来北京改善大气能见度带来新的挑战。
在针对BrC的研究中发现,近三年BrC与eBC具有相似的季节变化及日变化。然而在大多数季节中,二次BrC在总BrC中占比大幅上升,特别是在夏季,其贡献高达50%。eBC和BrC的变化直接影响其对大气的辐射效应,BC的直接辐射强迫从2012年的+3.36Wm-2下降到2020年的+1.09Wm-2,BrC的直接辐射强迫从+0.30下降到+0.17Wm-2 (2018~2020),这种辐射效应的变化会潜在降低气溶胶和边界层的相互作用,并对未来北京空气质量的持续改善有积极意义。
该研究结果发表在Atmospheric Chemistry and Physics上。研究得到国家自然科学基金(42061134008和9204430003)资助。
Sun, J., Wang, Z., Zhou, W., Xie, C., Wu, C., Chen, C., Han, T., Wang, Q., Li, Z., Li, J., Fu, P., Wang, Z., and Sun, Y.: Measurement report: Long-term changes in black carbon and aerosol optical properties from 2012 to 2020 in Beijing, China, Atmos. Chem. Phys., 22, 561–575, https://doi.org/10.5194/acp-22-561-2022, 2022.
文章链接:https://acp.copernicus.org/articles/22/561/2022/

图1. eBC、△eBC/△CO、eBC/PM2.5、bext、SSA和MEE的年度变化以及BC、一次棕碳和二次棕碳BrC造成的年平均辐射强迫(ΔFR)的变化。

图2. eBC、eBC/PM2.5、△eBC/△CO、CO、bext、SSA、PM2.5和MEE的季节变化。

图3. 2018年至2020年(a)babs, BrC、AAE的季节变化,(b)吸收组分对吸收系数的贡献,以及(c)babs、secondary BrC在370nm处BrC吸收中的占比。






