为应对外界周期性的环境变化,温带植物在秋冬季节通常会先后进入内休眠(endo-dormancy)和生态休眠(eco-dormancy)两个阶段。其中,生态休眠一般会在外界条件变得适宜后被解除。相反,内休眠由植物的生理因素控制(即使外界环境变得有利也不会停止),其需要一定的低温冷激量(chilling accumulation, CA)才能被打破从而进入生态休眠。在当前的全球变暖背景下,植物冬季受到的冷激量正在减少,并有可能导致其来年春季物候(比如返青期)延迟。有研究指出,为准确预测温带植物的春季生育期,当前以积温为主要驱动变量的物候模型需要添加冷激量的计算模块。然而,这些报道多针对木本植物,而冷激量是否对温带草本植物的返青期(vegetation green-up date,VGD)起决定性作用还有待明确。
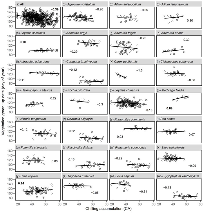
近日,中国科学院大气物理研究所等机构的研究人员基于我国内蒙古温带草地8个牧试站(图1)的长期(1982-2019)观测资料,定量分析了冬季冷激量对该地区27个建群种牧草返青期的影响。研究结果显示,对于绝大多数牧草来讲,研究时段内植被返青期与冷激量并没有显著的线性关系(图2)。使用混合线性模型和机器学习模型的模拟结果进一步证明,冷激量对植被返青期的影响远小于积温和降水等其他调控因子(图3)。这表明,在内蒙古温带草地,冷激量并不是植被返青期的一个重要影响因子,因此当前没有必要在预测返青期的积温模型中添加冷激量的计算模块。对于这一结果,研究人员给出了两种可能解释:1)研究区的冬季足够漫长和寒冷,以致尽管过去数十年间温度上升,但牧草对冬季冷激量的需求(chilling requirement,CR)仍然能被满足。当CR被满足后,额外的CA不会对植物内休眠的解除和春季返青期产生进一步影响;2)与木本植物不同,多年生草本植物在冬季休眠期内地上部分凋亡而根等其他器官存活于地下,土壤和空气中的温度、湿度条件不同,因此以往用于研究木本植物物候的冷激需求(CR)假说可能并不适用于草本植物。
文章第一作者王国成副研究员强调:“这个研究结论只适用于内蒙古温带草地过去四十年的情况,未来气温继续上升以后,冷激量有可能会进一步减少,其能否对研究区植被返青期产生显著影响还未可知。”
论文、作者及基金信息:
该成果以“Chilling accumulation is not an effective predictor of vegetation green-up date in Inner Mongolian grasslands”为标题,于2021年发表在《Geophysical Research Letters》上。论文其他作者包括肖媚珈(硕士在读)、夏祥鳌研究员、黄耀研究员、罗忠奎研究员、魏玉荣正研级高工和张稳研究员,研究受到云南省基础研究专项重大项目(202101BC070002)和国家自然科学基金(41775156)的资助。
原文链接:https://agupubs.onlinelibrary.wiley.com/doi/10.1029/2021GL096558

图1 研究区八个长期定位牧试站的分布,MAT和MAP分别为多年平均温度和降水,Meadow、Typical、Desert分别表示草甸草原、典型草原和荒漠草原。

图2 内蒙古温带草地各种植物返青期(VGD)与冬季冷激量(CA)的线性回归结果,图中数字为斜率,粗体表示统计显著(P < 0.05)。

图3基于增强回归树 (BRT) 模型判断的各自变量对植被返青期变化的相对影响(relative influence,RI),Species、HR、AP、DOP、CA、Clay分别为品种、热量需求、累积降水量、降水天数、冷激量、和土壤粘粒含量。






