新冠肺炎 (COVID-19)疫情的突然爆发,不仅严重冲击了全球经济活动,也深刻影响了我们的生活模式。随之而来的,很多国家和地区大气成分的浓度也经历了急剧下跌、低位维持和缓慢恢复的过程。基于已有的卫星观测报道,疫情期间我国二氧化氮柱浓度呈现出长时间、大面积、大幅度的下降,变化速度和程度超过了我国历次重大活动保障期间减排措施的效果。然而,浓度变化往往受边界层高度、气象条件和传输扩散等因素的影响,不一定能真实反映排放量的变化。疫情期间,氮氧化物的实际排放量减少了多少,对大气环境质量有着怎样的影响?回答这些问题可为氮氧化物减排方案的制定提供决策参考。
鉴于此,中国科学院大气物理研究所潘月鹏研究员与国家卫星气象中心张倩倩博士等合作,基于TROPOMI遥感监测二氧化氮柱浓度,结合GEOS-Chem大气化学模式,采用自上而下的方法反演了2019和2020年第一季度我国氮氧化物排放的变化,并进一步计算了氮氧化物减排对近地面臭氧和细颗粒物浓度的影响。

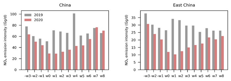
图1. 2019和2020年春节前后中国(左图)和中国东部(110°E-122°E,30°N-42°N,右图)氮氧化物的排放强度(单位:千吨/天)。其中,w0代表春节期间,柱状图代表周平均。
结果显示:2020年封城期间(春节及之后四周),我国氮氧化物排放强度比春节前降低了44.7%,比2019年同期降低了53.4%。2020年春节后第五周起的四周内(3月2-29日),我国大部分地区的氮氧化物排放强度逐渐恢复并接近于2019年同期水平(略低8.2%)。然而,中国东部氮氧化物排放强度的恢复较慢,到2020年3月底,氮氧化物排放强度仍低于2019年同期22.9%,显示出复工复产的区域差异性。

图2. 中国东部氮氧化物排放降低对2020年第一季度大气细颗粒物和臭氧浓度的影响。
2020年第一季度,中国东部氮氧化物排放量比2019年同期降低了40.5%,使更多的大气自由基(HOx)参与臭氧生成,从而导致近地面臭氧浓度上升了36.5%。然而,中国东部近地面细颗粒物浓度的下降幅度仅为12.5%。疫情期间,臭氧及相关的大气自由基浓度均有所上升,促进了二次颗粒物生成的非均相反应过程,这可能是细颗粒物浓度降低较少的原因之一。
2020年封城期间,氮氧化物排放强度降低的幅度高于以往春节假期造成的“节日效应”,而这个降幅也可能代表了当前技术水平下我国氮氧化物减排的上限(40-50%)。然而,如此大幅度的氮氧化物减排对颗粒物的消减作用却非常有限,且带来臭氧浓度的明显反弹。因此,在未来污染物减排方案的制定中,应充分考虑颗粒物和臭氧之间复杂的相互作用,实施多种大气污染物的协同控制。
文章链接:https://www.sciencedirect.com/science/article/pii/S0048969720357673
Zhang, Q., Pan, Y.*, He, Y., Walters, W. W., Ni, Q., Liu, X., Xu, G., Shao, J., and Jiang, C. 2020. Substantial nitrogen oxides emission reduction from China due to COVID-19 and its impact on surface ozone and particle pollution. Science of the Total Environment, https://doi.org/10.1016/j.scitotenv.2020.142238






