CMIP6 DECK试验是国际耦合模式比较计划的基准试验,它是衡量历次模式研发水平的重要试验数据基础。近期大气物理研究所完成并发布了CAS FGOALS-f3-L参加CMIP6 DECK试验数据。
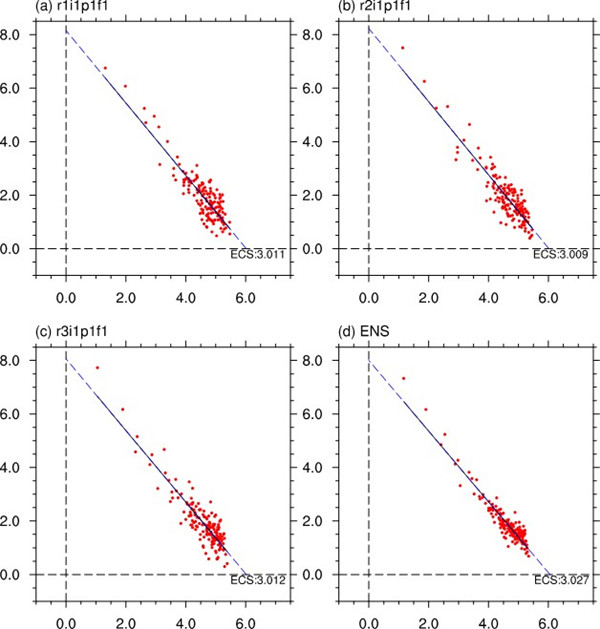
本文介绍了DECK耦合试验(piControl,abrupt-4×CO2,1pctCO2)的试验设计、模式设置以及初步结果评估。piControl提供了561年的模拟结果,abrupt-4×CO2和1pctCO2分别提供了三组集合成员,每个成员包括160年的积分。初步评估结果表明,piControl试验大气层顶能量平衡平均为0.31 W m-2,每百年下降趋势为-0.03 W m-2,全球海表温度平均为16.45°C,每百年变化趋势为0.03°C,具有较好的稳定性。在空间分布上,piControl试验可以合理的再现全球海表温度和降水的基本分布型,相比上一代耦合模式,在ITCZ地区的降水有所改进。另一方面利用abrupt-4×CO2计算得出模式的气候敏感度约为3.0°C,相比上一代的耦合模式的4.5°C更为合理。该试验为CMIP6国际耦合模式比较计划提供了重要基础数据。

图:CAS FGOALS-f3-L模式气候敏感度
Citation: Bian HE, Yongqiang YU, Qing BAO, Pengfei LIN, Hailong LIU, Jinxiao LI, Lei WANG, et al. (2020) CAS FGOALS-f3-L model dataset descriptions for CMIP6 DECK experiments, Atmospheric and Oceanic Science Letters, 13(6), DOI: 10.1080/16742834.2020.1778419.
Link:
https://doi.org/10.1080/16742834.2020.1778419






