我所大气分中心王跃思研究员课题组近期在National Science Review(国家科学评论)和《中国科学-地学》中英文版发表系列论文,评述我国大气污染治理成效及面临的新挑战。
2013年1月以来,我国中东部地区重霾频发,大气污染的治理迫在眉睫。为此,国务院于同年9月颁布了《大气污染防治行动计划》(“国十条”),旨在通过源头减排,实现重点区域以细颗粒物(PM2.5)为首的大气污染物得到有效控制。众所周知,近年来我国大气污染得到了明显改善,但改善的效果和程度如何?又有那些新的挑战?为此,我所王跃思研究员团队联合国内外多家研究单位,评估分析了自《大气污染防治行动计划》实施以来,全国及重点区域大气颗粒物质量浓度的变化,尤其是其化学组成的演变。基于我所LAPC为主建立的“CARE-China”国家尺度观测网获取的全国范围分粒径段的大气颗粒物化学成分谱时空演变数据结合生态环境部发布的观测数据,对我国典型区域空气质量的改善效果和程度展开深入分析和研究,最终获得如下结论:
(1)我国环境空气颗粒物年平均浓度整体呈明显下降趋势,但仍有64%的城市PM2.5年平均浓度未达到中国现行标准(GB3095-2012)。太行山东麓、汾渭平原和新疆乌昌等地区大气PM2.5浓度负荷依然较高,秋冬季重霾污染频发。
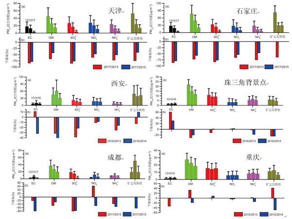
(2)秋冬季重污染期间,颗粒物中硫酸盐(SO42-)和有机物(OM)质量浓度下降明显。京津冀、珠三角、成渝和汾渭平原地区PM2.5中SO42-浓度分别下降了76%、12%、81%和38%;OM分别下降70%、44%、48%和31%; 铵盐(NH4+)分别下降68%、1.6%、38%和25%。EC在京津冀和成渝分别下降84%和20%,但在珠三角和汾渭平原地区分别上升61%和11%。
图1 2013-2017年不同城市/背景站点大气颗粒物PM2.5化学组分年际变化
(3)2013年以来我国主要城市PM2.5下降显著,超额完成了“国十条”的预定目标,然而一项新的挑战迎面而来,以臭氧(O3)为代表的光化学污染呈现快速上升趋势。每年5-9月,全国多地区均会出现大面积区域O3污染超标的态势;在京津冀、长三角和珠三角区域,臭氧超标天数已经超过PM2.5,成为首要污染物。
图2 2013-2017我国大气PM2.5浓度的显著降低(左图a, c)和地面臭氧浓度的升高(左图b, d);2013-2017年北京大气PM1细颗粒物化学成分浓度以及比例变化(右图:a浓度变化,b成分比例)
(4)同期气态污染物研究发现,相关区域SO2下降显著,但NOx下降幅度低于预期。导致细颗粒物中硝酸盐贡献比率超过硫酸盐。
研究还进一步分析了我国自2013年以来不同区域重霾污染天数持续减少的原因,并对导致PM2.5和O3浓度相反变化趋势的原因进行了解析。提出了我国空气质量全面长期达标的进一步控制方向,即,继续高强度控制NOx,全面控制挥发性有机物(VOCs),将氨(包括氨气和铵盐)作为大气污染物列入控制性指标。
该研究得到了中国科学院战略先导专项、科技部国家重点研发计划、大气重污染成因与治理攻关项目(“总理专项”)、国家自然科学基金和北京市科委重大项目的支持。
论文清单如下。
(1)Wang Yuesi, Li Wenjie, Gao Wenkang, Liu Zirui, Tian Shili, Shen Rongrong, Ji Dongsheng, Wang Shuai, Wang Llili, Tang Guiqian, Song Tao, Cheng Mengtian, Wang Gehui, Gong Zhengyu, Hao Jiming, Zhang Yuanhang. 2019. Trends in particulate matter and its chemical compositions in China from 2013–2017. Science China Earth Sciences, 62(12): 1857–1871. (影响因子:3.242) (英文版)
(2)王跃思, 李文杰, 高文康, 刘子锐, 田世丽, 沈蓉蓉, 吉东生, 王帅, 王莉莉, 唐贵谦, 宋涛, 程萌田, 王格慧, 宫正宇, 郝吉明, 张远航. 2020. 2013~2017年中国重点区域颗粒物质量浓度和化学成分变化趋势. 中国科学: 地球科学, 50(4):453–468 (中文版)
(3)Yonghong Wang, Wenkang Gao, Shuai Wang, Tao Song,Zhengyu Gong,Dongsheng Ji,Lili Wang, Zirui Liu, Guiqian Tang,Yanfeng Huo, Shili Tian, Jiayun Li, Mingge Li,Yuan Yang, Biwu Chu, Tuukka Petaja,Veli-Matti Kerminen,Hong He,Jiming Hao,Markku Kulmala, Yuesi Wang*, Yuanhang Zhang*. 2020. Contrasting trends of PM2.5 and surface-ozone concentrations in China from 2013 to 2017. National Science Review, NSR, https://doi.org/10.1093/nsr/nwaa032 (影响因子:16.693)






