气候变化对热带气旋活动的影响受到人们的广泛关注,热带气旋所引起的狂风、暴雨和风暴潮等灾害会给全球沿海各国带来严重的经济损失和人员伤亡。目前对于全球变暖背景下热带气旋生成频数和生成位置的变化尚缺乏共识,这导致评估气候变化对热带气旋活动的综合影响还存在很大的不确定性。这表明仍需进一步深入研究以加强对全球变暖与热带气旋活动之间复杂关系的理解。
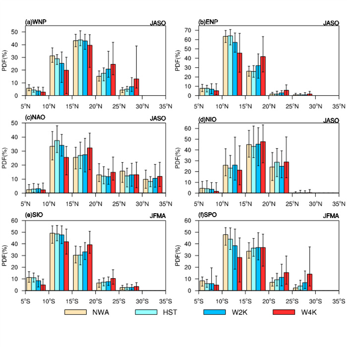
近期中科院大气所季风中心的研究成果基于日本气象厅发布的高分辨率大样本模拟数据集 (d4PDF) 发现,在未来气候变化的背景下全球热带气旋的生成将向两极移动 (图1),在未来增暖4K的模拟中表现最明显。在全球各个海域均显示热带区域热带气旋生成频数的占比随着增暖水平的增加将会降低,而副热带区域热带气旋生成频数的占比随着增暖水平的增加将会增加 (图2),而这主要与Hadley环流的减弱有关 (图3)。随着全球变暖,大气对流层高层的温度增加更快,导致大气稳定度的增加,造成经向环流的减弱,表现为热带区域有异常的下沉运动,使得热带气旋生成频数减少,而副热带区域有异常的上升运动,使得热带气旋生成频数增加。进一步我们发现区域Hadley环流的差异主要与经向的位温梯度有明显的关系。最后利用信噪比方法预估阿拉伯海、南太平洋和南大西洋副热带区域的热带气旋生成的信号将出现在未来增暖2K的背景下,而西北太平洋和东北太平洋副热带区域的热带气旋生成的信号将出现在未来增暖4K的背景下 (图4)。
“我们的研究结果丰富了气候变化下热带气旋活动的演变规律,对准确预估气候模型中热带气旋的未来变化、减少高纬度地区热带气旋的相关危害具有重要的科学意义”,论文的第一作者曹西副研究员说到。
以上研究成果近期接收发表于Geophysical Research Letters上。曹西副研究员为该文章的第一兼通讯作者,合作者包括日本东京大学Masahiro Watanabe教授,浙江大学的吴仁广教授,云南大学陈文教授,国家气候中心的孙颖研究员,澳大利亚新南威尔士大学的邓涤菲研究员,以及中科院大气所的燕青研究员、王鹏飞正研级高工以及武亮研究员。
相关的论文信息:
Cao, X.*, Masahiro Watanabe, R. G. Wu, W. Chen, Y. Sun, Q. Yan, Pengfei Wang, Difei Deng and Liang Wu, 2024, The projected poleward shift of tropical cyclogenesis at a global scale under climate change in MRI-AGCM3.2H, Geophys. Res. Lett., 51, e2023GL107189. https://doi.org/10.1029/2023GL107189
图1. (a)HST和NWA,(b)W2K和HST,和(c)W4K和HST在北半球的JASO和南半球的JFMA季节中热带气旋生成频数的差异。交叉区域表示通过了95%的信度检验。HST为历史模拟,NWA为没有增暖的模拟,W2K为未来增暖2K的模拟,W4K为未来增暖4K的模拟。
图2. 全球各个海域在各自台风活跃季节中热带气旋生成频数百分比在不同模拟下的纬度分布:(a)西北太平洋,(b)东北太平洋,(c)北大西洋,(d)北印度洋,(e)南印度洋,和(f)南太平洋。
图3. (a-b)HST和NWA,(c-d)W2K和HST,(e-f)W4K和HST在(左)JASO和(右)JFMA季节的纬向平均垂直速度(w,10-2 Pa s-1)的差异。红色阴影中的正值对应于异常下沉运动,紫色阴影中的负值对应于异常上升运动。等值线表示JASO和JFMA季节中HST模式中气候平均的垂直速度(虚线对应于上升运动)。打点区域表示95%的置信水平。
图4. 六个关键海域的热带气旋生成频数在未来不同增暖水平下的信噪比。彩色实线表示线性回归。信号定义为HST-NWA(1K)、W2K-NWA(2K)和W4K-NWA(4K)中的热带气旋生成频数的差异。青色表示东北太平洋,红色表示西北太平洋,蓝色表示阿拉伯海,绿色表示南印度洋,橙色表示南太平洋和紫色表示南大西洋。






